| Sign In | Join Free | My insurersguide.com |
|
Brand Name : CMMC
Model Number : As per specification and drawing
Certification : ISO 9001, AS9100 etc.
Place of Origin : CMMC in CHINA
MOQ : Negotiable
Price : Negotiable
Payment Terms : D/P, L/C, T/T
Supply Ability : 100 metric tons per month
Delivery Time : 60-90 days
Packaging Details : Water prevent, seaworthy transport, non-fumigation wooden box
Material : Alloy LF2
Valve alloy LF2 (LF2 valve alloy) for high performance internal combustion engine exhaust valve
PRODUCT
Alloy LF2 (LF2 valve alloy) for high performance internal combustion engine (diesel engine and gasoline engine) exhaust valves for automobile, locomotive, tractor, ship, tank, oil rig, construction machinery and mobile power station, etc.
PRODUCT FORM
Bar and rod: the delivery condition is rolled, heat treated, oxidation, descaling, turned, ground, and polished, etc.
Others: disc, seamless pipe and tube, cylinder, forging, forging block etc.
APPLICATION
Alloy LF2 is mainly used as the exhaust valve material for high-power internal combustion engines such as heavy duty diesel engines.
SKETCH OF EXHAUST VALVE

PRODUCTION PROCEDURE OF EXHAUST VALVE
Blanking → Electric heating upsetting forging of head blank → Heat treatment of head blank and rod → Friction welding → Rough turning or grinding → Finish turning → Cut fixed length → Semi-fine grinding the stem → The valve stem chrome plating → Fine grinding the stem → NDT of the finished valve → Delivery

SURFACE CONDITION OF EXHAUST VALVE

PRODUCTION SITE OF EXHAUST VALVE

CHEMICAL COMPOSITION (wt%):
| Fe | Ni | Co | Cr | Zr | Ti | Nb | Ce |
| Balance | 20.0-28.0 | 0.10-3.0 | 17.0-23.0 | 0.01-0.20 | 1.80-3.20 | 0.70-2.00 | 0.003-0.10 |
| Cu | C | Al | Mn | Si | P | S | |
| 0.05-0.50 | 0.02-0.20 | 0.70-2.00 | 0.40-1.50 | 0.10-1.50 | ≤0.015 | ≤0.010 |
OVERVIEW
Valve material is a necessary material for the production of gasoline engine and diesel engine inlet and exhaust valve, but also the key material in the whole engine. In order to meet the needs of different types of internal combustion engines, developed countries in the world are constantly developing all kinds of new exhaust valve materials.
Inlet and exhaust valve in high temperature gas corrosion, high load and high stress action and other harsh environment, the valves has to withstand the temperature of up to 600-800°C. Alloy 80A and Alloy 751 are two commonly used valve alloys. Alloy 80A gets more and more attention for its high temperature performance with the large quantity use of it. The microstructure and properties of Alloy 80A were studied, and it was found that the increase of Ti/Al ratio significantly improved the mechanical properties at room temperature. When Ti/Al is relatively low, β-NiAl phase is precipitated out of the crystal, resulting in high temperature fracture of the material.
Alloy LF2 is an economical Fe-Ni base aging strengthened Alloy with excellent high temperature gas corrosion resistance and high temperature resistance performance. It has the almost the same high temperature performance as Alloy 80A and Alloy 751, which are widely used in foreign countries. As the Ni content decreased from 70% to 30%, the cost was greatly reduced. The valve made of this alloy has been widely used in 4B locomotive by Dongfeng, and 240B locomotive made by CRRC Dalian Locomotive & Vehicle Co., Ltd., and Beijing railway bureau tianjin locomotive and vehicle parts Co.,Ltd, and other high power heavy-duty diesel engines. It operates quite wel. Also they are widely used in heavy-duty commercial vehicles and heavy-duty trucks. Alloy LF2 is a kind of valve alloy with great market potential. However, with the continuous increase of internal combustion engine parameters and the increase of exhaust temperature and exhaust purification standard, more stringent requirements are put forward for the performance of valve alloy.
METALLOGRAPHY
The matrix of LF2 alloy is austenite. γ′phase, MC phase, Laves phase and sigma phase are the main precipitated phases.
Chemical phase analysis of the tested alloys ( mass fraction %)
| Precipitated phase | Mass fraction % | Main chemical composition% |
| γ' | 6.051 | 0.168Nb |
| 0.655Ti | ||
| 0.304Al | ||
| Laves | 1.155 | 0.323Nb |
| 0.113Ti | ||
| 0.085Cr | ||
| MC | 0.302 | 0.131Nb |
| 0.118Ti | ||
| 0.048C |

Fig.1 Microstructure of Alloy LF2 under different solution temperatures (a,d) 950℃; (b,e) 990℃; (c,f) 1070℃

Fig.2 TEM images of precipitated phase and selected area diffraction patterns (SAD) after 990℃ x 1 h,WQ + 760℃ x 10 h,AC, (a) γ' phase; (b) Laves phase

Fig.3 SEM image (a) and EDS spectrum (b) of the MC phase after 990℃ x 1 h,WQ + 760℃ x 10 h,AC
HEAT TREATMENT
Solid solution treatment
The purpose of solid solution treatment is to dissolve the second phase of carbides and γ' phase in the matrix, so as to obtain uniform oversaturated solid solution, which is conducive to re-precipitation of carbides with uniform distribution of fine particles and gamma' and other strengthening phases during aging process, and at the same time to eliminate the stress generated in the cold and hot processing process and promote recrystallization of the alloy. Secondly, solid solution treatment is also to obtain the appropriate grain size to ensure the stability of the alloy performance.
The optimal solid solution temperature for Alloy LF2 is 990°C, 1 hour, water cooling.
Aging treatment
For the purpose of optimal mechanical properties and microstructure, the optimal aging treatment shall be at 760℃, holding for 10 hours, and air cooling.

Fig.4 Microstructure of Alloy LF2 under different aging temperatures (solution treated at 990℃ for 1h)
(a,d) 680℃, (b,e) 760℃, (c,f) 800℃

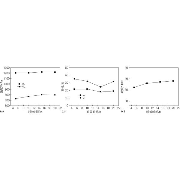
Fig.5 Mechanical properties of Alloy LF2 under different aging time
(a) strength, (b) ductility, (c) hardness
MECHANICAL PROPERTIES
Heat treatment:Solid solution annealing at 990℃ x 1h, WQ, aging at 760℃ x 10h, AC.
| Tensile strength Rm | Yield strength Rp0.2 | Elongation | Reduction area |
| MPa | MPa | % | % |
| 1201 | 772 | 21.8 | 32 |
COMPETITIVE ADVANTAGE:
(1) More than 50 years experience of research and develop in high temperature alloy, corrosion resistance alloy, precision alloy, refractory alloy, rare metal and precious metal material and products.
(2) 6 state key laboratories and calibration center.
(3) Patent technologies.
(4) Average grain size 9 or finer.
(5) High performance
BUSINESS TERM
| Minimum Order Quantity | Negotiable |
| Price | Negotiable |
| Packaging Details | Water prevent, seaworthy transport, non-fumigation wooden box |
| Mark | As per order |
| Delivery Time | 60-90 days |
| Payment Terms | T/T, L/C at sight, D/P |
| Supply Ability | 100 metric tons per month |
|
|
LF2 Exhaust Valve Alloys High Strength For Automobile And Mobile Power Station Images |